Рік видання: 2020
Назва предмету: Фізика
Дата проведення: 17 червня (17.06.2020)
Кількість сторінок: 20
Видавництво: “Украинський Центр Оцінювання якості освіти”
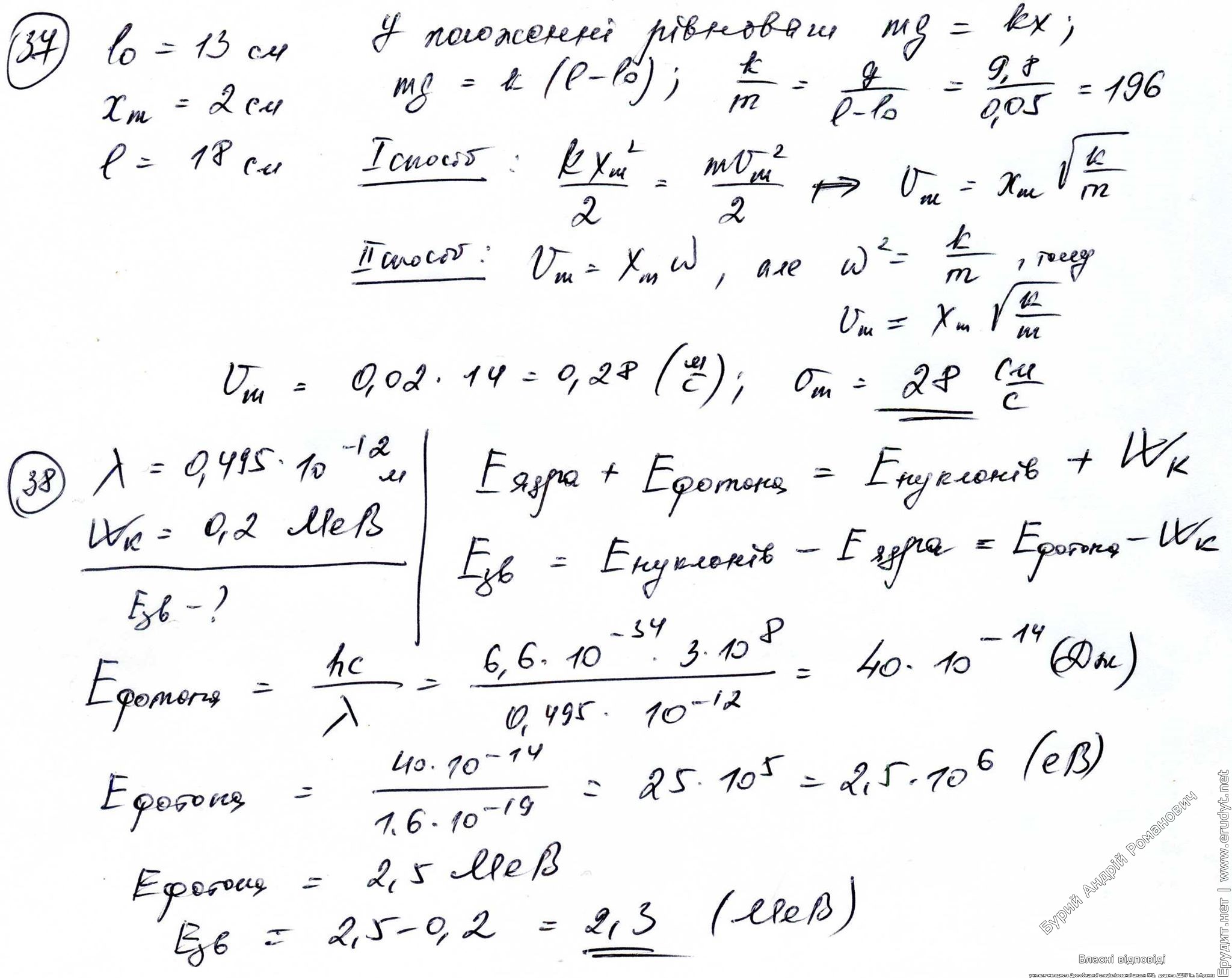
Зовнішнє незалежне оцінювання (ЗНО) 2020 року. Пропонуємо вам ознайомитися з копією тестового зошита з пробного ЗНО з Фізики. Завдання та відповіді тестів пробного ЗНО онлайн.
Завдання читати онлайн
Відповіді до пробного ЗНО 2020 з фізики
Виберіть номер завдання:
Дивитись відповідь:
← Назад
Вперед →




